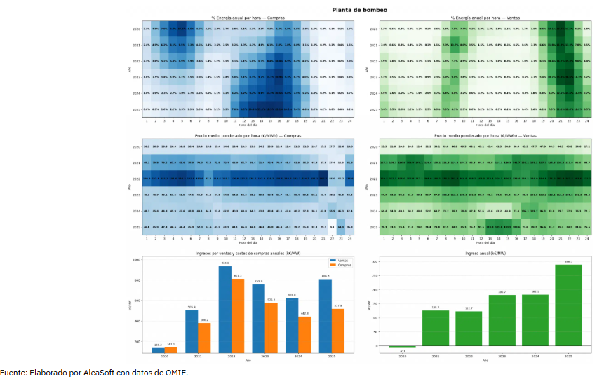
A partir de las operaciones casadas en el mercado diario entre 2020 y 2025, es posible determinar el comportamiento operativo y económico de una planta de bombeo, utilizando la energía intercambiada por dicha planta de bombeo en el sistema eléctrico peninsular y los precios horarios resultantes del mercado. Incluso limitándose al mercado diario, estos datos permiten reconstruir los patrones fundamentales de operación del almacenamiento de energía a gran escala y su interacción con la formación de precios.
Las plantas de bombeo y su papel en la flexibilidad del sistema eléctrico
27 feb 2026